• Предмет: Математика
  • Автор: erikvashchinec
  • Вопрос задан 3 года назад

Что ето как сложно... ​

Приложения:

Ответы

Ответ дал: manyny06
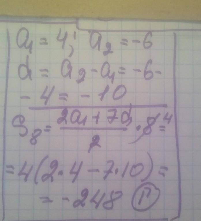
1

Ответ:

решение смотри на фотографии

Приложения:
Вас заинтересует