• Предмет: Химия
  • Автор: yryg
  • Вопрос задан 3 года назад

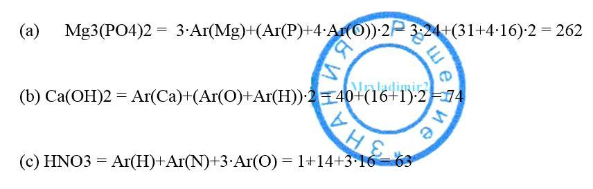
Рассчитайте относительные молекулярные массы соединений(3 б)

(a) Mg3(РО4)2 _____________________________________________________________

(b) Ca(OH)2______________________________________________________________

(c) НNO3 _____________________________________​

Ответы

Ответ дал: mrvladimir2
2

Ответ:

Объяснение:...

Приложения:
Вас заинтересует