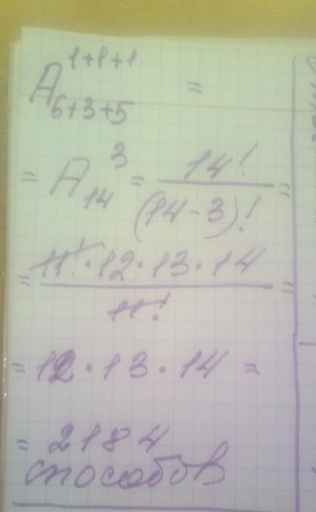
Для працевлаштування у компанію подали
резюме 6 слюсарів, 3 маляра i5 двірників.
Скількома способами можна прийняти на роботу
одного слюсаря і одного маляра і одного двірника.
                        
                            
                            
                    Ответы
                                            Ответ дал: 
                                                                                    
                                        
                                            
                                                
                                                
                                                
                                                    1
                                                
                                            
                                        
                                    Ответ:
решение смотри на фотографии
Приложения:
                    
                            Вас заинтересует
                
                        2 года назад
                    
                
                        2 года назад
                    
                
                        2 года назад
                    
                
                        2 года назад
                    
                
                        8 лет назад
                    
                
                        9 лет назад