• Предмет: Алгебра
  • Автор: milysyab2909
  • Вопрос задан 3 года назад

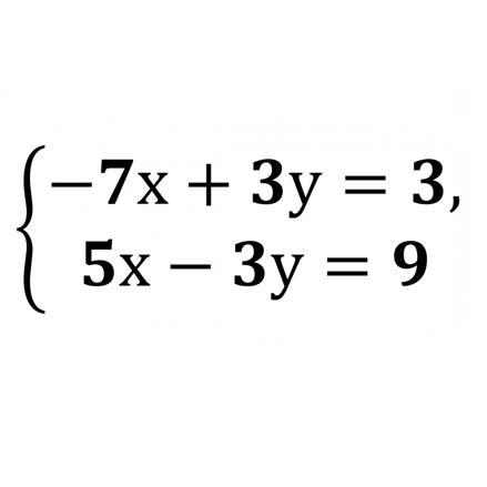
{-7x+3y=3 {5x-3y=9 срочно

Приложения:

Ответы

Ответ дал: manyny06
3

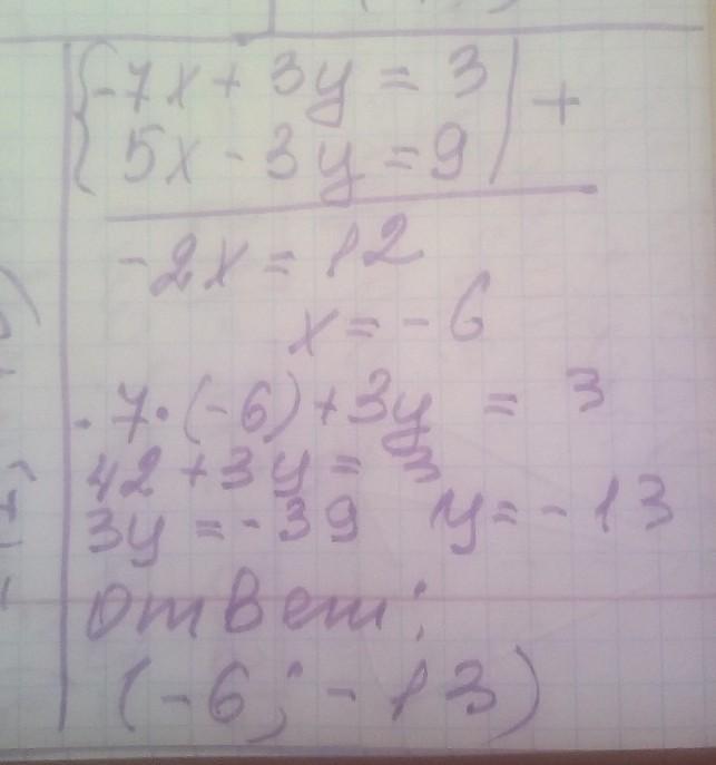
Ответ:

решение смотри на фотографии

Приложения:

milysyab2909: Спасибо, можете ещё помочь пожалуйста, в профиле ещё задание:)
Вас заинтересует