• Предмет: Алгебра
  • Автор: gsdfsagljk
  • Вопрос задан 3 года назад

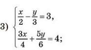
помогите пожалуйста.

Приложения:

Ответы

Ответ дал: xzxzxzxz55
1

Ответ:

x=23/4 y=-3/8 надеюсь помог

Приложения:
Вас заинтересует