Ответы
Ответ дал:
3
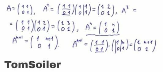
Ответ на фото надеюсь помог
Приложения:

ubit10:
спасибо большое
Вас заинтересует
2 года назад
2 года назад
2 года назад
8 лет назад
9 лет назад