• Предмет: Математика
  • Автор: kirasapozhnikova2
  • Вопрос задан 3 года назад

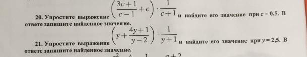
ПОМОГИТЕ ПОЖАЛУЙСТА ​

Приложения:

Ответы

Ответ дал: serovaksusa1
0

Ответ:

Смотри решение на фото

Приложения:
Вас заинтересует