• Предмет: Математика
  • Автор: sonyagrenchuk
  • Вопрос задан 8 лет назад

срочнооо а) (14 м 2 см - 9 дм 64 мм):6,4 +0,36 м;
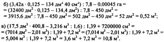
б) 3,24 а-0,125 - 134 дм 40 см’):7,8- 0,00045 га;
в) (17,5 дм" - 400,8-3,216 см":1,6):1,39 +7 200 000 см

Приложения:

Ответы

Ответ дал: adelmikhailova99
2

Ответ:

а) (14 м 2 см — 9 дм 64 мм) : 6,4 + 0,36 м=

= (1402 см -  96,4 см) : 6,4 + 36 см =

= 1305,6 см : 6,4 + 36 см = 204 см + 36 см = 240 см = 2,4 м:

Приложения:
Вас заинтересует
10 лет назад