Ответы
Ответ дал:
2
Ответ:
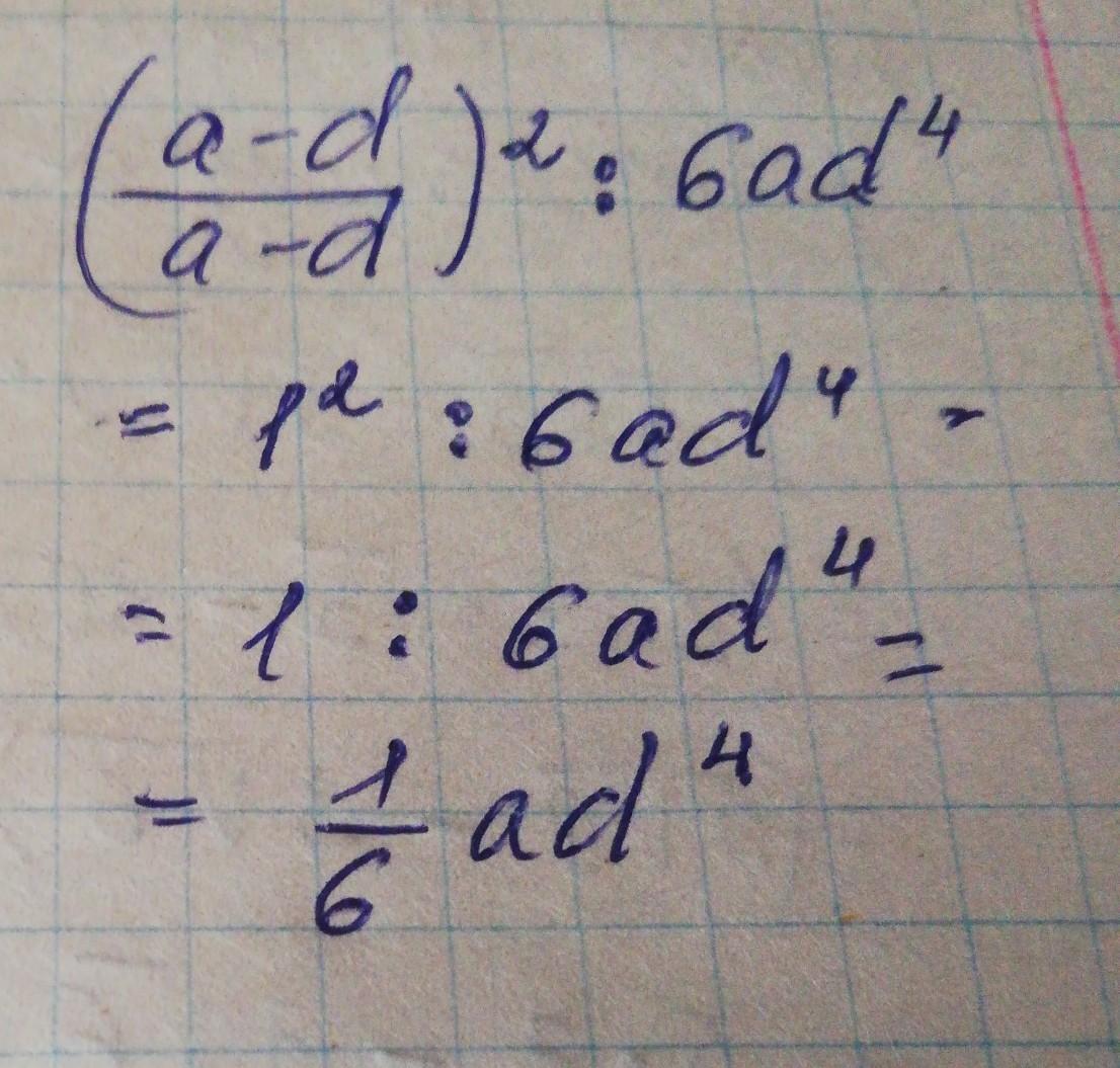
Смотри решение на фото ниже
Приложения:

brokenshadow34:
Ля, спасибо большое!
https://znanija.com/task/45777135?utm_source=android&utm_medium=share&utm_campaign=question
Вас заинтересует
2 года назад
2 года назад
3 года назад
3 года назад
8 лет назад
9 лет назад