УМОЛЯЮ СРОЧНО ПОМОГИТЕ
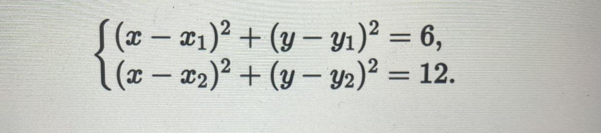
Пусть х1, х2, y1, y2
- некоторые действительные числа.
Сколько решений может иметь система уравнений?
Только 0, 2 или бесконечно много
Только 0 или 2
Только 1 или 2
Только 0, 1 или 2
Только 0, 1, 2, 3, 4 или бесконечно много
Только 1
Только 0, 1, 2, 3 или 4
Только 0, 1, 2 или бесконечно много
Приложения:

Ответы
Ответ дал:
0
Відповідь:
Пояснення:
Имеете систему уравнений двох окружностей с разными диаметрами √6, √12 центрами в точках (х1,у1) и (х2, у2)
В зависимости от их размещения можем иметь следующие случаи:
- круги не пересекаются: решений не имеем
- круги касаются: имеем только одно решение
- круги пересекаются: имеем два решения
Так как разные радиусы, то окружности не накладываются
Только 0, 1 или 2
Вас заинтересует
2 года назад
2 года назад
3 года назад
8 лет назад
9 лет назад