допоможіть розв'язати бажано по діях!!
Приложения:

BFAM:
які завдання потрібно виконати?
Ответы
Ответ дал:
0
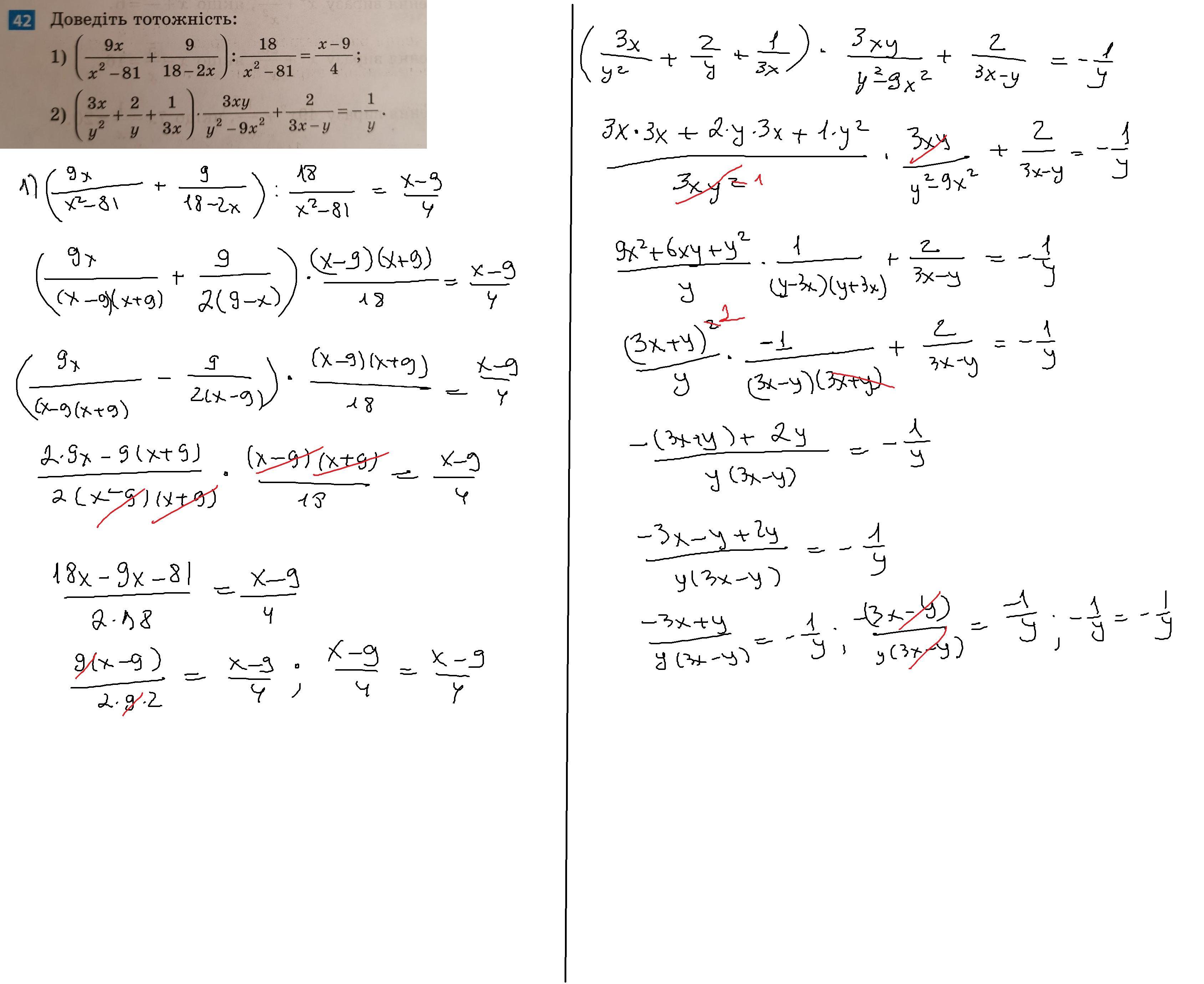
Ответ:
Всё решение подробно на фото ниже
Пошаговое объяснение:
Приложения:


Вас заинтересует
2 года назад
3 года назад
3 года назад
8 лет назад
9 лет назад