буду очень признателен, все расписать надо
Приложения:

Аноним:
так ты пацааан ●•●
Ответы
Ответ дал:
1
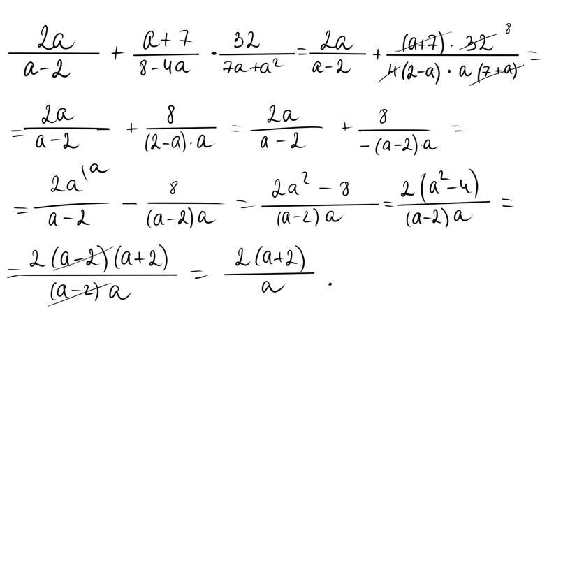
Решение представлено на фото
Приложения:

Вас заинтересует
2 года назад
2 года назад
3 года назад
3 года назад
8 лет назад
9 лет назад
9 лет назад