• Предмет: Математика
  • Автор: FiOna0304
  • Вопрос задан 7 лет назад

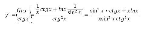
Знайти похідні функції: y=ln x/ctg x

Приложения:

Ответы

Ответ дал: dmasya
1

Ответ:

Пошаговое объяснение:

шрпнааспожлэдлорлпополоо

Приложения:
Вас заинтересует