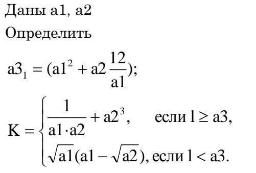
Задача в паскаль
Я вроде её сделала
program algoritm;
var a1,a2,a3, k:real;
begin
write('a1='); readln (a1);
write('a2='); readln(a2);
if 1>=a3 then k:=l/a1*a2+a2*a2*a2 else
if 1<a3 then k:=sqrt (a1) * (a1-sqrt (a2)) else a3:= (a1*a1+a2* (12/a1));
writeln('a3=',a3);
writeln('k=',k);
end.
Вроде бы все правильно, но когда вводишь значения а1 и а2, к примеру 2 и 3, то а3 получается 0 и соответственно к получается неправильно 
Пожалуйста помогите 
                        
                                    Приложения:
                    
                            
                    restIess:
                    a3 где у тебя рассчитывается то?
                
            
                    
                    ну получается вот: a3:= (a1*a1+a2* (12/a1));
                
            
                    
                    Так это надо рассчитать до условий, ты же a3 сравниваешь с 1
                
            
                    
                    я уже так делала, и в итоге а3 получается, а вот к нет, то есть значения к вообще не выводит
                
            
                    
                    конечно я туплю и вообще не понимаю, но вроде все так
                
            Ответы
                                            Ответ дал: 
                                                                                    
                                        
                                            
                                                
                                                
                                                
                                                    1
                                                
                                            
                                        
                                    program algoritm;
var a1,a2,a3, k:real;
begin
write('a1='); readln (a1);
write('a2='); readln(a2);
a3:= (a1*a1+a2* (12/a1));
if 1>=a3 then
k:=1/(a1*a2)+power(a2, 3)
else if 1 < a3 then
k:= sqrt(a1) * (a1-sqrt(a2));
writeln('a3=',a3);
writeln('k=',k);
end.
                    
                    блин, огромное спасибо ❤️
                
            Вас заинтересует
                
                        2 года назад
                    
                
                        2 года назад
                    
                
                        2 года назад
                    
                
                        2 года назад
                    
                
                        8 лет назад
                    
                
                        9 лет назад