• Предмет: Алгебра
  • Автор: strangerthingslove
  • Вопрос задан 7 лет назад

АЛГЕБРА!!(УРАВНЕНИЯ) САМОСТОЯТЕЛЬНАЯ РАБОТА!! ОЧЕНЬ СРОЧНО!! ПОМОГИТЕ ПОЖАЛУЙСТА!! ДАЮ 15 БАЛЛОВ!!! ​

Приложения:

Ответы

Ответ дал: podkorytovaelena94
1

Ответ:

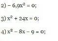
2)

-6.9x^{2} =0\\x^{2} =0\\x=0

3)

x^{2} +24x = 0\\x(x+24)=0\\x_{1} = 0 \\x+24=0\\x_{2} =-24

4)

x^{2} -8x-9=0\\D=64+4*9=64+36=100\\x_{1} = \frac{8+10}{2} =9\\x_{2} = \frac{8-10}{2} = -1


strangerthingslove: Спасибо огромное
Вас заинтересует