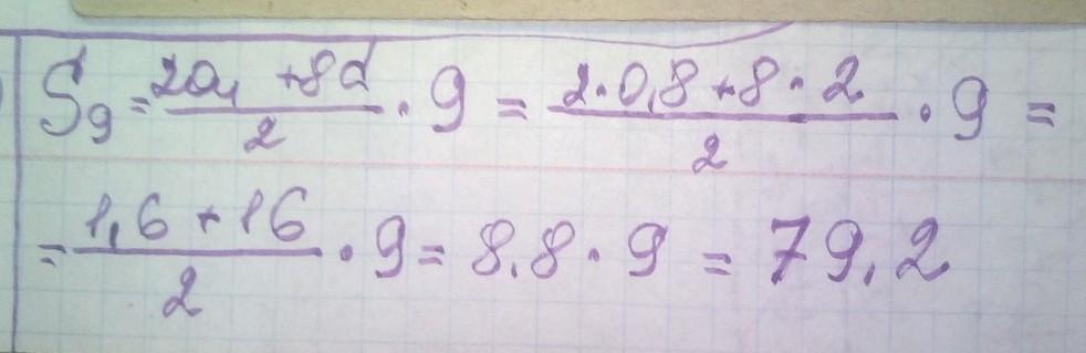
Знайдіть суму перших дев’яти членів арифметичної прогресії (аn), якщо
а1 = 0,8, d = 2.
а) 79,2; б) 72,9; в) 84,6; г) 75,96.
с решением
Ответы
Ответ дал:
1
Ответ:
решение смотри на фотографии
Приложения:

negrsolnechniy:
спасибо
Вас заинтересует
2 года назад
8 лет назад