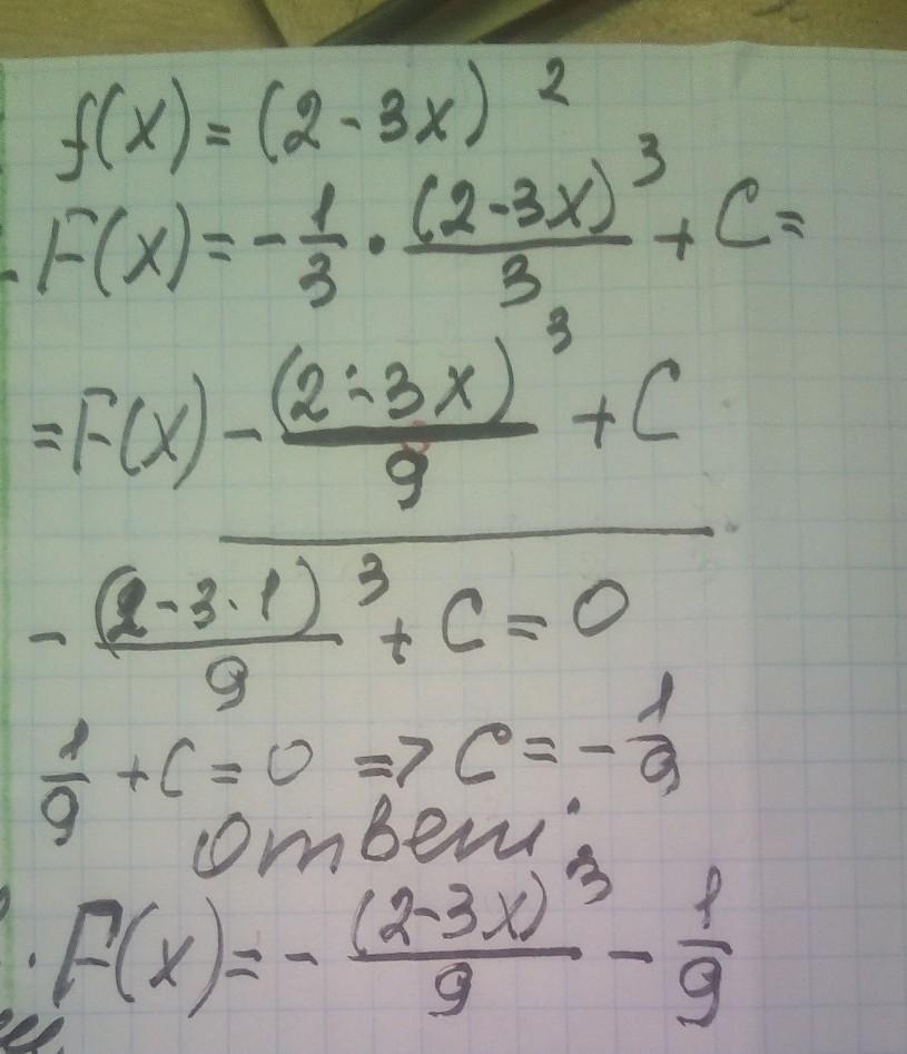
Для данної функції f(x)=(2-3x)^{2} знайти первісну F, яка задовольняє умову F(1)=0 .
Запишемо дану первісну у вигляді
                        
                            
                                    
                    Аноним:
                    хохлы вместе со своим командором пукиным гэндоны
                
            Ответы
                                            Ответ дал: 
                                                                                    
                                        
                                            
                                                
                                                
                                                
                                                    0
                                                
                                            
                                        
                                    Ответ:
решение смотри на фотографии
Приложения:
                     
                            
                    
                    спасибо что помогли этой проститутке
                
            
                    
                    чел, ты чатом ошибся
                
            Вас заинтересует
                
                        2 года назад
                    
                
                        2 года назад
                    
                
                        2 года назад
                    
                
                        2 года назад
                    
                
                        8 лет назад
                    
                
                        8 лет назад
                    
                
                        9 лет назад