• Предмет: Алгебра
  • Автор: Alexxx0013
  • Вопрос задан 3 года назад

нужно найти dx/dy и d^2y/dx^2 ​

Приложения:

Ответы

Ответ дал: NNNLLL54
1

Ответ:

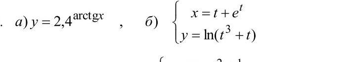
1)\ \ y=2,4^{arctgx}

Первую производную находим по правилу дифференцирования показательной функций .  

y'=\dfrac{dy}{dx}=2,4^{arctgx}\cdot ln2,4\cdot \dfrac{1}{1+x^2}

Вторую производную находим как производную произведения функций .

y''=(y')'=\dfrac{d^2y}{dx^2}=\Big(2,4^{arctgx}\Big)'\cdot ln2,4\cdot \dfrac{1}{1+x^2}+2,4^{arctgx}\cdot ln2,4\cdot \Big(\dfrac{1}{1+x^2}\Big)'=\\\\\\=2,4^{arctgx}\cdot \dfrac{1}{1+x^2}\cdot  ln2,4\cdot \dfrac{1}{1+x^2}+2,4^{arctgx}\cdot ln2,4\cdot \dfrac{-2x}{(1+x^2)^2}=\\\\\\=2,4^{arctgx}\cdot \dfrac{ln2,4}{(1+x^2)^2}-2,4^{arctgx}\cdot \dfrac{2x\cdot ln2,4}{(1+x^2)^2}=2,4^{arctgx}\cdot \dfrac{ln2,4\cdot (1-2x)}{(1+x^2)^2}  

2)\ \ \left\{\begin{array}{l}x=t+e^{t}\\y=ln(t^3+t)\end{array}\right

Производная функции , заданной параметрически  y'_{x}=\dfrac{y'_{t}}{x'_{t}}   .

y'_{t}=\dfrac{3t^2+1}{t^3+t}\ \ ,\ \ \ \ x'_{t}=1+e^{t}\\\\\\y'_{x}=\dfrac{dy}{dx}=\dfrac{3t^2+1}{(t^3+t)(1+e^{t})}  

Вторая производная   y''_{xx}=\dfrac{y''_{tt}}{x'_{t}}  .

y''_{tt}=\Big(\dfrac{3t^2+1}{(t^3+t)(1+e^{t})}\Big)'_{t}=\\\\\\=\dfrac{6t(t^3+t)(1+e^{t})-(3t^2+1)\cdot ((3t^2+1)(1+e^{t})+(t^3+t)e^{t})}{(t^3+t)^2(1+e^{t})^2}\\\\\\y''_{xx}=\dfrac{6t(t^3+t)(1+e^{t})-(3t^2+1)\cdot ((3t^2+1)(1+e^{t})+(t^3+t)e^{t})}{(t^3+t)^2(1+e^{t})^3}


Alexxx0013: огромное спасибо
Alexxx0013: если есть время, посмотрите и другую задачу пожалуйста)
Alexxx0013: вы здесь
Вас заинтересует