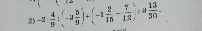
-2×4/9:(-3 5/9)+(-1 2/15-7/12):3 13/30 ПОМОГИТЕ ДАЮ 40 БАЛОВ кто не понял что я написал))))
Приложения:

Ответы
Ответ дал:
1
Відповідь:
Покрокове пояснення:
Ответ дал:
0
Ответ:
-1/4
Пошаговое объяснение:
1) -1. 2/15 - 7/12 = -1. 8/60 - 35/60 = -1. 43/60
2) -1. 43/60 : 3. 13/30 = -103/60 : 103/30 = -103/60 * 30/103 = -1/2 * 1/1 = -1/2
3) -2 * 4/9 = -8/9
4) -8/9 : (-3. 5/9) = -8/9 : (-32/9) = -8/9 * (-9/32) = -1/1 * (-1/4) = 1/4
5) 1/4 + (-1/2) = 1/4 - 1/2 = 1/4 - 2/4 = -1/4
Вас заинтересует
2 года назад
2 года назад
2 года назад
7 лет назад
7 лет назад
9 лет назад