• Предмет: Математика
  • Автор: ayguneliyeva080
  • Вопрос задан 3 года назад

решите пж пж срочно надо​

Приложения:

Ответы

Ответ дал: kamilmatematik100504
1

Ответ:

\left ( -4 ~~ ; ~~ 12\dfrac{1}{9} \right) ~~ u ~~ (9  ~~ ; ~~   -27 ,25 )

Пошаговое объяснение:

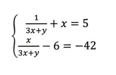
\left \{ \begin{array}{l}  \dfrac{1}{3x +y} + x = 5\\\\ \dfrac{x}{3x+y} -6 = - 42  \end{array}

ОДЗ :

\dfrac{1}{3x+y} \neq  0  \\\\ 3x + y \neq  0 \\\\ y\neq  -3x

Введем  замену :

a = \dfrac{1}{3x + y}  ~~ ; ~~  b = x

Заметим , что выйдет теорема Виета

\left \{ \begin{array}{l}  a+b = 5 \\\\ ab - 6 = - 42\end{array} \right.\Leftrightarrow   \left \{ \begin{array}{l}  a+b = 5 \\\\ ab  = -36\end{array} \right.  \Leftrightarrow \\\\\\   1) a=  9   ~  ; ~   b =- 4  ~~~ u \land u ~~~ 2)a=  -4   ~  ; ~   b = 9

Вернемся к старым переменным

В первом случае :

\left  \{ \begin{array}{l}  \dfrac{1}{3x + y} = 9 \\\\ x= -4   \end{array}\right. \Leftrightarrow   \\\\\\\dfrac{1}{-12 +  y  } = 9  \\\\\\ -108  + 9y  = 1 \\\\ 9y  =  109  \\\\ y =\dfrac{109}{9} \\\\ y = 12\dfrac{1}{9}

x_1 = -4 ~~ ; ~~ y _1 = 12\dfrac{1}{9}

Во втором :

\left  \{ \begin{array}{l}  \dfrac{1}{3x + y} = -4 \\\\ x= 9    \end{array}\right. \Leftrightarrow   \\\\\\ \dfrac{1}{27 + y } =  - 4 \\\\ -108 - 4y  = 1 \\\\ -4y  = 109  \\\\ y =- 27 ,25

x_2=  9  ~~ ; ~~ y _2 = -27 ,25

Вас заинтересует