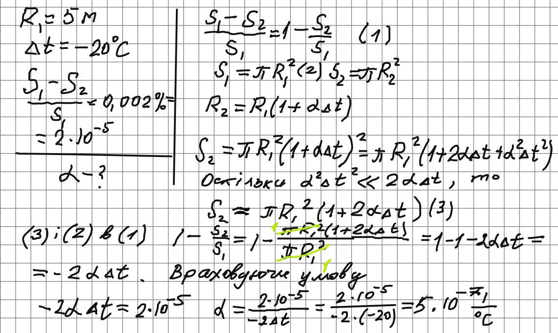
Диск радіусом 5 м при охолодженні на 20 градусів зменшив свою площу на 0.002%. Знайдіть коефіцієнт теплового розширення матеріалу диску.
Ответы
Ответ дал:
1
Відповідь: 5·10⁻⁷ 1/⁰С
Пояснення:
Приложения:

zybkov1950:
В умові помилка. Мало би бути "зменшив свою площу на 0.2%" або "зменшив свою площу на 0.002" Тоді реальна відповідь:5·10⁻⁵ 1/⁰С
Вас заинтересует
2 года назад
2 года назад
2 года назад
2 года назад
7 лет назад
7 лет назад