• Предмет: Алгебра
  • Автор: evgenialopijcuk
  • Вопрос задан 3 года назад

ПОМОГИТЕ При яких значеннях параметрів m Ta n рівняння:. (m - 2)(n + 4) * x = (m + 3)(n + 4) 1) не має розв'язків; 2)має безліч розв'язків?

Ответы

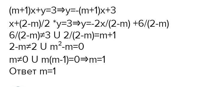
Ответ дал: usupovasevara85
1

Объяснение:

привет. думаю что правильно. удачи ☺️☺️☺️

Приложения:
Вас заинтересует