• Предмет: Физика
  • Автор: fateevadara333
  • Вопрос задан 2 года назад

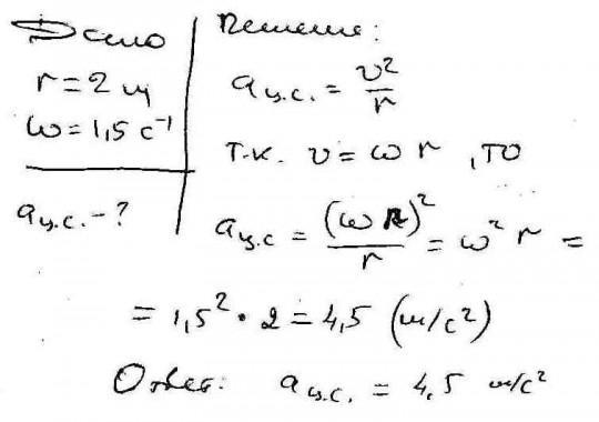
Визначте доцентрове прискорення з яким рухаються крайні точки карусельного станка, віддалені від осі обертання на 2м якщо кутова швидкість обертання становить 1,5рад/с​

Ответы

Ответ дал: kamilaleo00
2

Відповідь:

Пояснення:

Приложения:
Вас заинтересует