Ответы
Ответ дал:
1
Ответ:
Точно не знаю, но вроде ответ такой
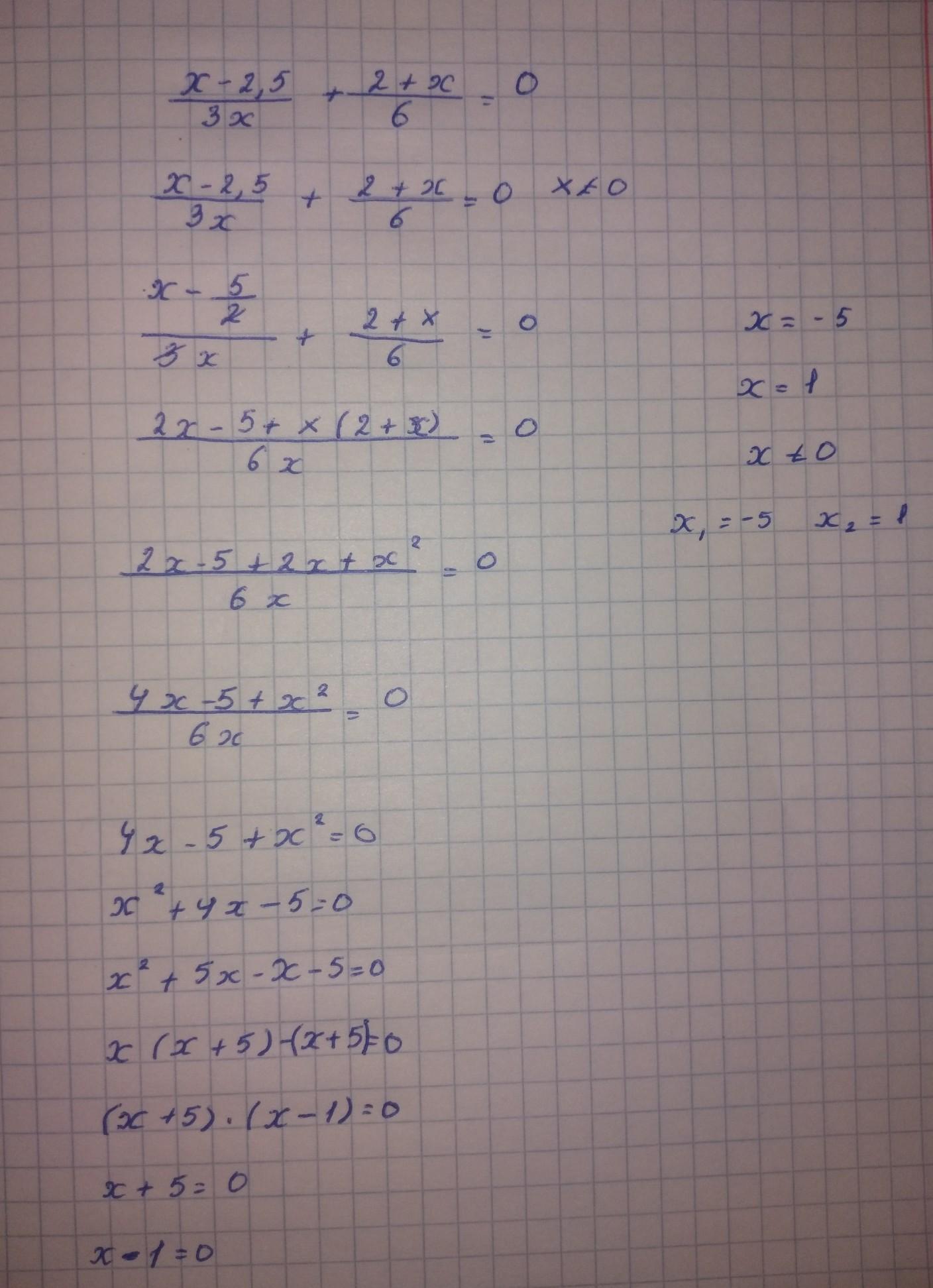
Приложения:

Ответ дал:
1
Ответ:
Вроде вот так будет
...........................
Приложения:

Вас заинтересует
1 год назад
1 год назад
1 год назад
3 года назад
3 года назад
8 лет назад
8 лет назад