• Предмет: Математика
  • Автор: Аноним
  • Вопрос задан 2 года назад

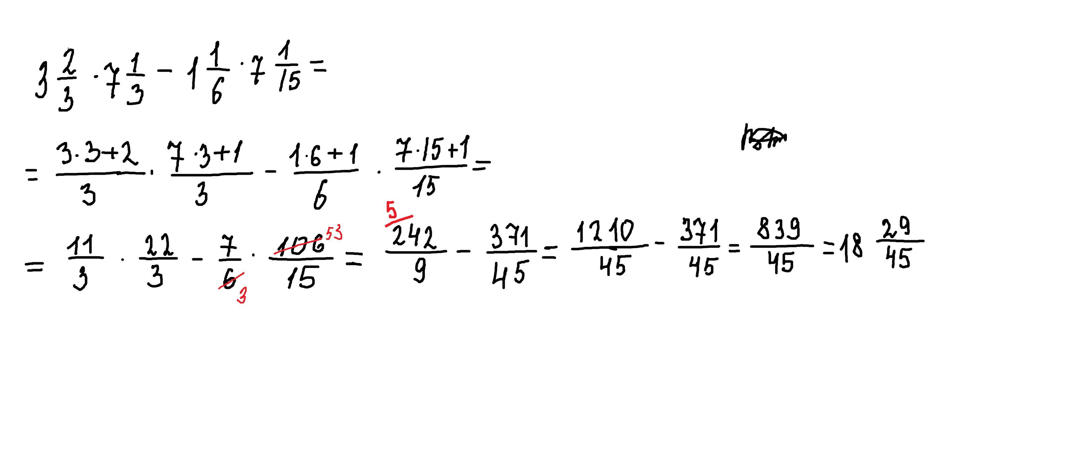
3 2/3 . 7 1/3 - 1 1/6 . 7 1/15 (20 БАЛОВ)​

Приложения:

Аноним: 18 29/45 или 18,64

Ответы

Ответ дал: parus77
0

Ответ:

18 29/45

Пошаговое объяснение:

Приложения:
Вас заинтересует