• Предмет: Физика
  • Автор: 12Bogdan9943
  • Вопрос задан 2 года назад

Срочно!Даю 100 балов
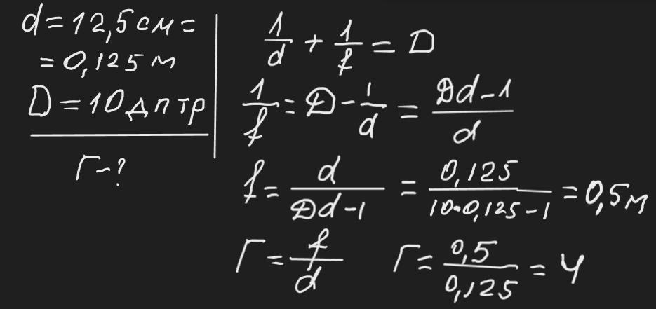
Предмет розташований на відстані 12.5 см від тонкої лінзи.Знайдіть лінійне збільшення,якщо оптична сила лінзи 10 дптр

Ответы

Ответ дал: zybkov1950
2

Відповідь: 4

Пояснення:

Приложения:
Ответ дал: fizikUA1
1
Відповідь на фото , дякую
Приложения:
Вас заинтересует