• Предмет: Математика
  • Автор: Аноним
  • Вопрос задан 2 года назад

ДАЮ 48 БАЛОВ
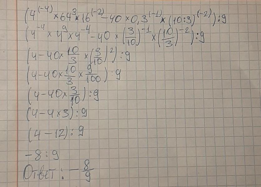
(4^(-4)*64^3*16^(-2)-40*0.3^(-1)*(10/3)^(-2))/9 розгорнуту відповідь

Ответы

Ответ дал: romasb002
1

Пошаговое объяснение:

все действия расписаны на фото

Приложения:
Вас заинтересует