• Предмет: Алгебра
  • Автор: Noyneimbobr
  • Вопрос задан 2 года назад

срочно даю 30 баллов

Приложения:

Ответы

Ответ дал: Friend532
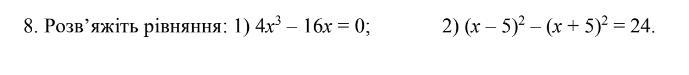
1

Ответ:

x1 = -2, x2= 0, !

Объяснение:

4x × (x² - 4) = 0

x • (x² - 4) = 0

x = 0

x2 - 4 = 0

X = 0

x = -3

x = 20

Вас заинтересует