• Предмет: Физика
  • Автор: rammie12349
  • Вопрос задан 2 года назад

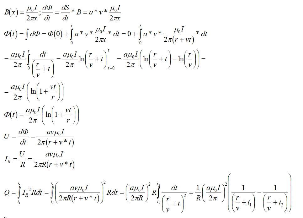
Сила тока в прямом бесконечном проводнике равна I. На расстоянии r0 от проводника находится плоский контур, образованный двумя параллельными шинами, по которым перемещается прямой проводник, и резистором с сопротивлением R. Расстояние между шинами равно a, скорость движения проводника v. Найти, по каким законам изменяется со временем: пронизывающий контур магнитный поток Ф(t); ЭДС индукции является(t); индукционный ток в контуре Ii(t) количество теплоты Q, выделяемой в контуре за промежуток времени от t1 до t2.


IUV: малюнок маєш ?
rammie12349: https://mega.nz/file/i1NmUKjY#W0zDZ-zs1Ng3Ihw8OISs8VrJxV_niK1ouOsmYHAJC2c працює?

Ответы

Ответ дал: IUV
2

Відповідь:

Пояснення:

Приложения:

rammie12349: спасибі велике:)
IUV: на здоров'я
Вас заинтересует