• Предмет: Алгебра
  • Автор: atadjanovaxadicha01
  • Вопрос задан 2 года назад

Помогите пожалуйста с домашкой
ОЧЕНЬ СРОЧНО!!!!!!

Приложения:

Ответы

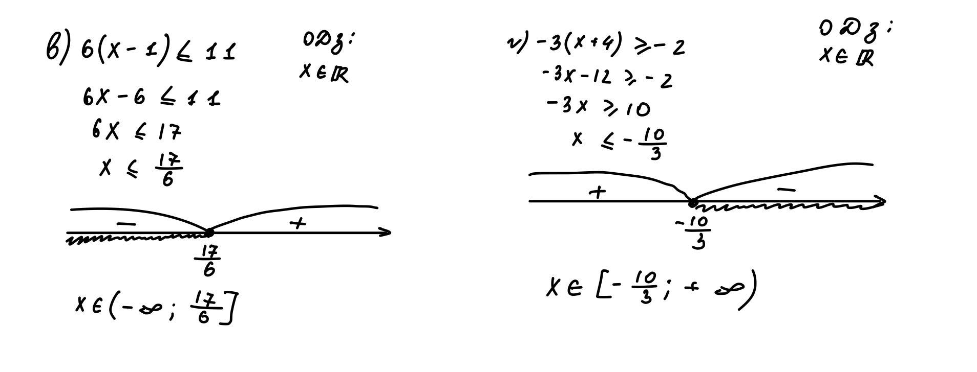
Ответ дал: Shilkinn
1

надеюсь помог, удачи))

Приложения:
Вас заинтересует
3 года назад