• Предмет: Геометрия
  • Автор: zxc1onlyy
  • Вопрос задан 2 года назад

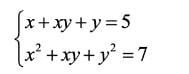
помогите пожалуйста решить задачку по геометрии

Приложения:

Ответы

Ответ дал: kyryloshkil
0

надеюсь почірк зрозумієш

Приложения:
Вас заинтересует