• Предмет: Алгебра
  • Автор: Norman7895
  • Вопрос задан 2 года назад

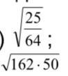
!!!!помогите даю 40 балов!!!!

Приложения:

Ответы

Ответ дал: maldybaikyzykymbat7
0

Ответ:

Надеюсь было полезно

Объяснение:

приложение Photomath

Приложения:
Вас заинтересует