• Предмет: Математика
  • Автор: andrey58998
  • Вопрос задан 2 года назад

Срочно дам 60 балов пожалуйста только ответи решение не надо
P. S. РІВНЯНЯ РАСПИСИВАТЬ
Пример:
Х-5=34
Х=34+5
Х=39

Приложения:

Ответы

Ответ дал: сок111213
0

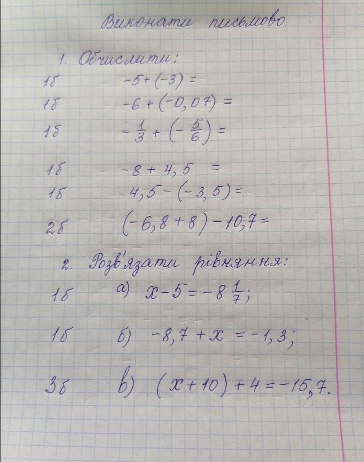
1.

1) - 5 + (-3) = - 5 - 3 = -8

2) - 6 + (-0,07) = - 6 - 0,07 = -6,07

3) - 1/3 + ( - 5/6) = - 3/6 - 5/6 = - 8/6 = - 4/3 = - 1 1/3

4) -8 + 4,5 = -3,5

5) -4,5 - (-3,5) = -4,5 + 3,5 = -1

6) (-6,8 + 8) - 10,7 = 1,2 - 10,7 = -9,5

2.

а)

х - 5 = - 8 1/7

х = - 8 1/7 + 5

х = - 3 1/7

б)

- 8,7 + х = - 1,3

х = - 1,3 + 8,7

х = 7,4

в)

(х + 10) + 4 = - 15,7

х + 10 = - 15,7 - 4

х + 10 = - 19,7

х = - 19,7 - 10

х = - 29,7

Вас заинтересует