• Предмет: Геометрия
  • Автор: evun200522
  • Вопрос задан 2 года назад

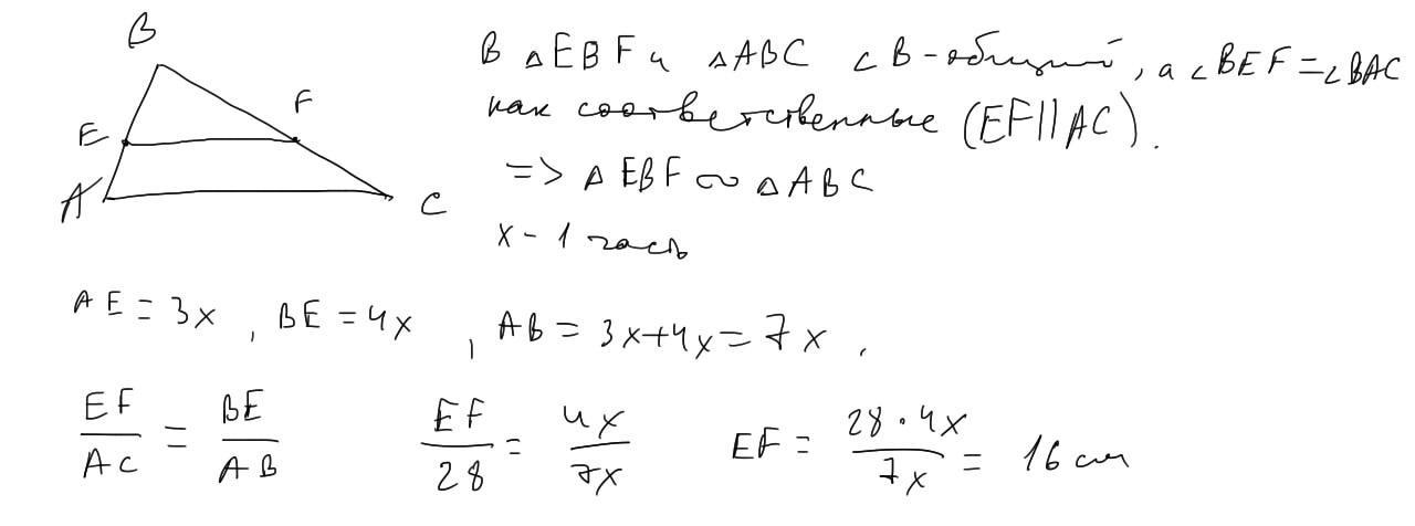
на стороні АВ трикутника АВС позначили точку Е так, що АЕ:ВЕ=3:4. Через точку Е провели пряму, яка паралельна стороні АС трикутника та перетинає сторону ВС у точці F. знайдіть відрізок EF , якщо АС=28см​

Ответы

Ответ дал: Warlock1
5

Ответ:

16 см

Объяснение:

Приложения:
Вас заинтересует