• Предмет: Алгебра
  • Автор: Alexxx0013
  • Вопрос задан 2 года назад

Помогите пожалуйста решить задачу ​

Приложения:

Ответы

Ответ дал: Alnadya
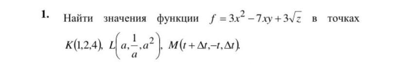
1

Решение.     \bf f(x,y)=3x^2-7xy+3\sqrt{z}\ \ ,\ \ K(1;2;4)\ ,\ L(a;\dfrac{1}{a};a^2)\ ,\ M(t+\Delta t;-t;\Delta t)  

Найдём значения функции в заданных точках . Подставим координаты точек в функцию .

\bf f(K)=3\cdot 1^2-7\cdot 1\cdot 2+3\sqrt{4}=3-14+6=-5\\\\\\f(L)=3\cdot a^2-7\cdot a\cdot \dfrac{1}{a}+3\sqrt{a^2}=3a^2-7+3\cdot |a|=\left\{\begin{array}{l}\bf 3a^2+3a-7\ ,\ esli\ a\geq 0\\\bf 3a^2-3a-7\ ,\ esli\ a < 0\end{array}\right

\bf f(M)=3\cdot (t+\Delta t)^2-7\cdot (t+\Delta t)\cdot (-t)+3\sqrt{\Delta t}=\\\\=3\cdot (t^2+2\, t\Delta t+(\Delta t)^2+7\, t^2+7\, t\Delta t+3\sqrt{\Delta t}=\\\\=10\, t^2+13\, t\Delta t+3\, (\Delta t)^2+3\sqrt{\Delta t}    

Приложения:

Alexxx0013: тоже скриншот
Alnadya: cм скриншот
Вас заинтересует