• Предмет: Алгебра
  • Автор: esstarr
  • Вопрос задан 2 года назад

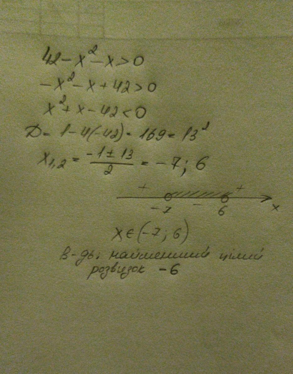
Знайдіть найменший цілий розв‘язок нерівності 42-x^2-x>0

Ответы

Ответ дал: manyny06
2

Ответ:

решение смотри на фотографии

Приложения:
Ответ дал: kkkfffffk
1

Ответ:

-6

Объяснение:

Пояснення вказане на фото.

Приложения:
Вас заинтересует