• Предмет: Алгебра
  • Автор: anastasiahodos32
  • Вопрос задан 2 года назад

ДАЮ 40 БАЛІВ
допоможіть будь ласка
треба повністю розписати


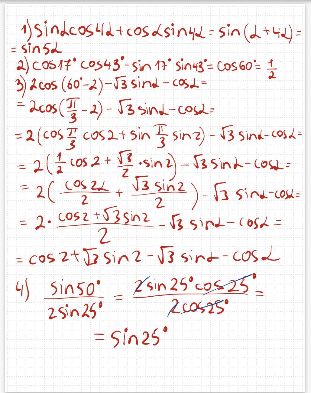
Спростіть вираз
а)
 sin \alpha \cos4 \alpha + \cos \alpha \sin4 \alpha
б)
 \cos17 {}^{0} cos43 {}^{0} - \sin17 {}^{0} \sin43 {}^{0}
в)
2 \cos(60 {}^{0} - 2) - \sqrt{3} \sin \alpha - \cos \alpha
г)
 \frac{ \sin50 {}^{0} }{2 \cos25 {}^{0} }

Ответы

Ответ дал: broomspun1
1

Ответ:

дай лучший ответ пж

Объяснение:

Приложения:

anastasiahodos32: дякую вам ви просто вау
broomspun1: Будь ласка
Вас заинтересует