• Предмет: Математика
  • Автор: borisovm817
  • Вопрос задан 2 года назад

Пожалуйста помогите! СРОЧНО! даю 60 баллов!​

Приложения:

Ответы

Ответ дал: tetamotatetyamotya
0

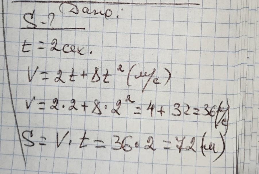
Ответ:

S=72м смотрите ниже

Пошаговое объяснение:

решение ниже

Приложения:

ClarisVerbis: Здравствуйте! Вы не могли бы, пожалуйста, помочь с заданием? https://znanija.com/task/52448440
Вас заинтересует