100 балів!!
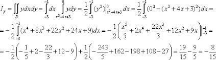
знайти центр маси однорідних фігур, обмежених даними лініями: y=2x^3, y^2=2x за допомогою подвійного інтеграла
Ответы
Ответ дал:
0
Пошаговое объяснение:
вот центр тяжести сорри если неправильно
Приложения:

Вас заинтересует
1 год назад
1 год назад
1 год назад
3 года назад
3 года назад
8 лет назад