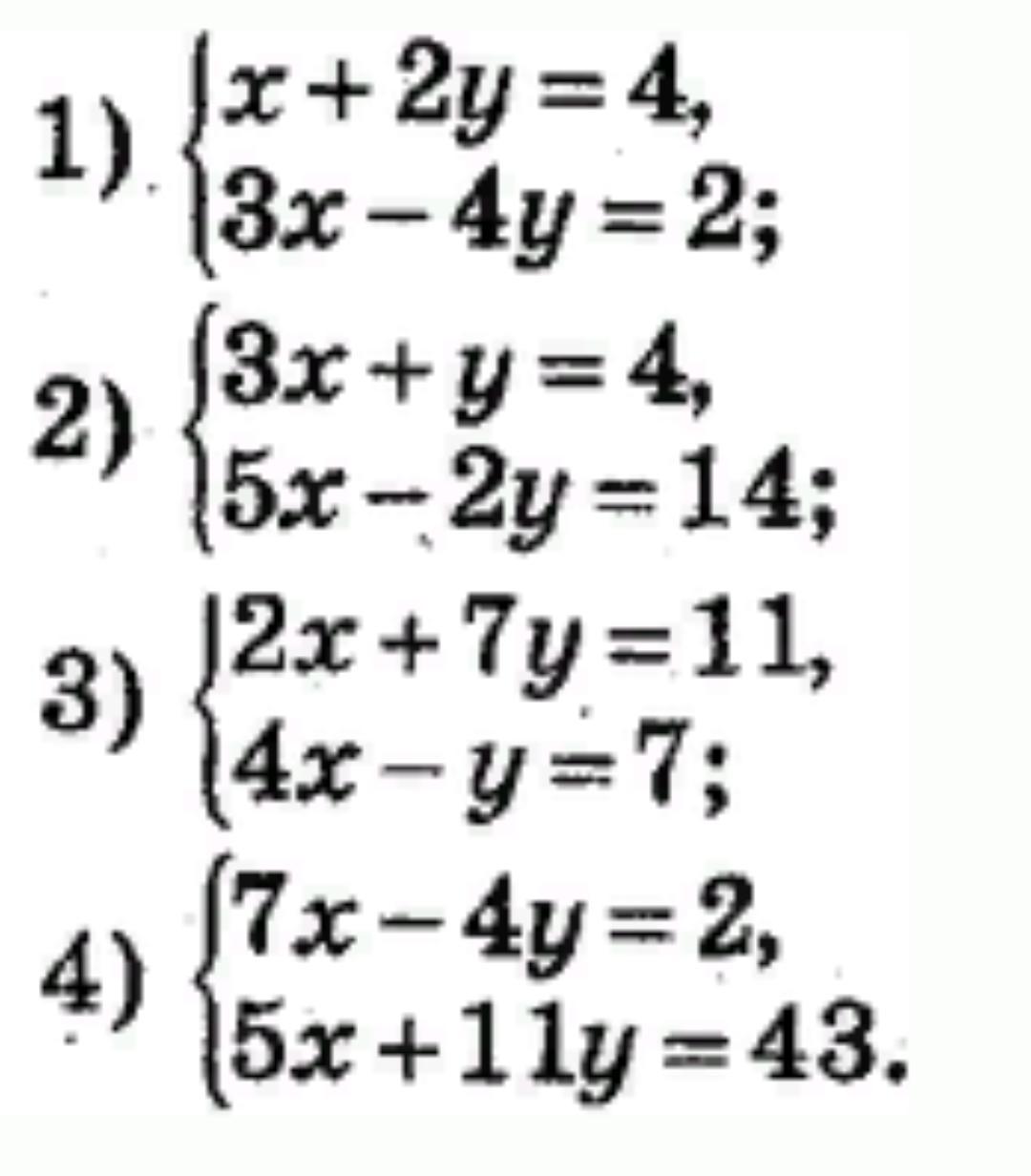
Допоможіть по алгебрі тема: розв'язування систем двох лінійних рівнянь з двома змінними способом підстановки. Дам 50 балів!!!!
Приложения:

Ответы
Ответ дал:
1
Ответ:
Объяснение: Щоб розв'язати систему рівнянь способом підстановки, треба:
1. Виразити з якого-небудь її рівняння одну змінну через іншу;
наприклад: рівняння, з якого можна виразити змінну y це— 4x-y=7; виражаємо: y=4x-7.
2. Підставити в інше рівняння системи замість цієї змінної отриманий вираз;
наприклад: розкрити дужки, переставити невідомі вліво, відомі вправо, змінюючи знаки.
3. Розв'язати утворене рівняння з однією змінною;
4. Знайти відповідне значення іншої змінної.
5. Записати відповідь.
Приложения:


Вас заинтересует
1 год назад
1 год назад
3 года назад
3 года назад
8 лет назад