• Предмет: Математика
  • Автор: burren
  • Вопрос задан 2 года назад

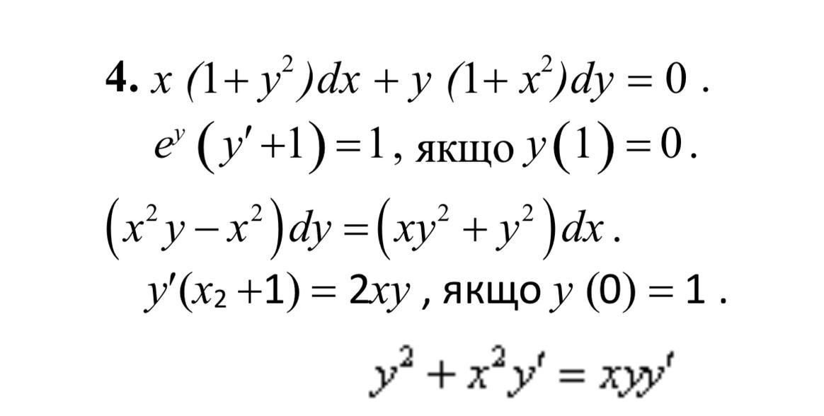
висшая математика помогите

Приложения:

Ответы

Ответ дал: dashulka22222
1

Пошаговое объяснение:

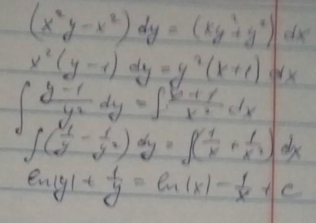
на листку

..,...............

Приложения:

burren: с лева на право?
dashulka22222: скільки файлів показує? не можу перевірити
burren: пʼять
dashulka22222: тоді,мабуть,щось повторилося. бо друге не вийшло
burren: так , два однакових
dashulka22222: не можу видалити,бо не бачу їх
burren: в якому порядку переписувати , бо там змішалось
dashulka22222: дивіться по умовах
dashulka22222: перші строчки
burren: добре
Вас заинтересует