• Предмет: Алгебра
  • Автор: denysboss360
  • Вопрос задан 2 года назад

ДОПОМОЖІТЬ БУДЬ ЛАСКА ТЕРМІНОВО ПОТРІБНО
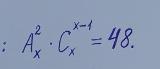
Розв'яжіть рівняння

Приложения:

Ответы

Ответ дал: Evgenia4836
1

Ответ:

x=4

Объяснение:

\frac{x!}{(x-2)!}*\frac{x!}{(x-1)!(x-x+1)!}=48\\ \frac{x(x-1)(x-2)!}{(x-2)!}*\frac{x(x-1)!}{(x-1)!}=48\\ x(x-1)*x=48

x³-x²-48=0

x³-4x²+3x²-48=0

x²(x-4)+3(x²-16)=0

x²(x-4)+3(x-4)(x+4)=0

(x-4)(x²+3x+12)=0

x²+3x+12, D<0, корней нет, значит ответ

x=4.


denysboss360: Дякую!! Можешь будь ласка ще з одним допомогти?
Evgenia4836: да
denysboss360: Зараз добавлю
Вас заинтересует