• Предмет: Алгебра
  • Автор: maximvehetek
  • Вопрос задан 2 года назад

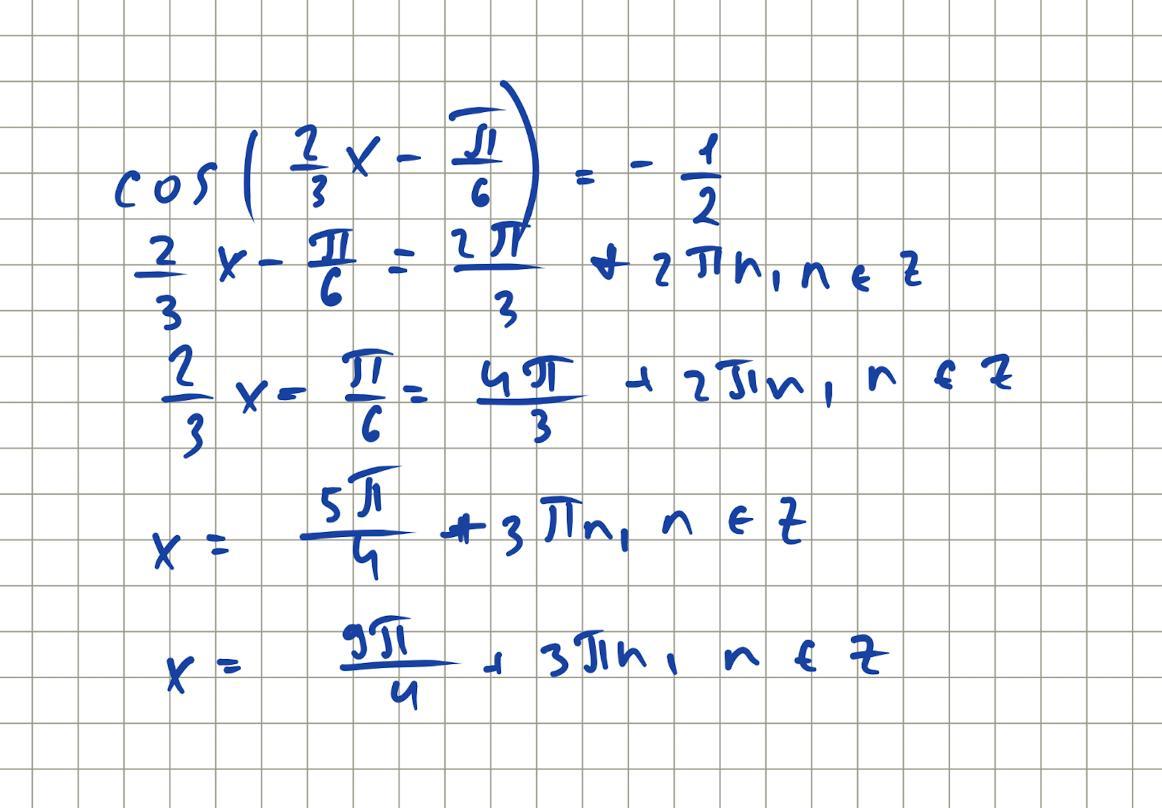
Розв'яжи рівняння: 10 класс

Приложения:

Ответы

Ответ дал: broomspun1
0

Ответ:

дай лучший ответ пж

Объяснение:

Приложения:
Вас заинтересует