• Предмет: Алгебра
  • Автор: Xonda7777
  • Вопрос задан 2 года назад

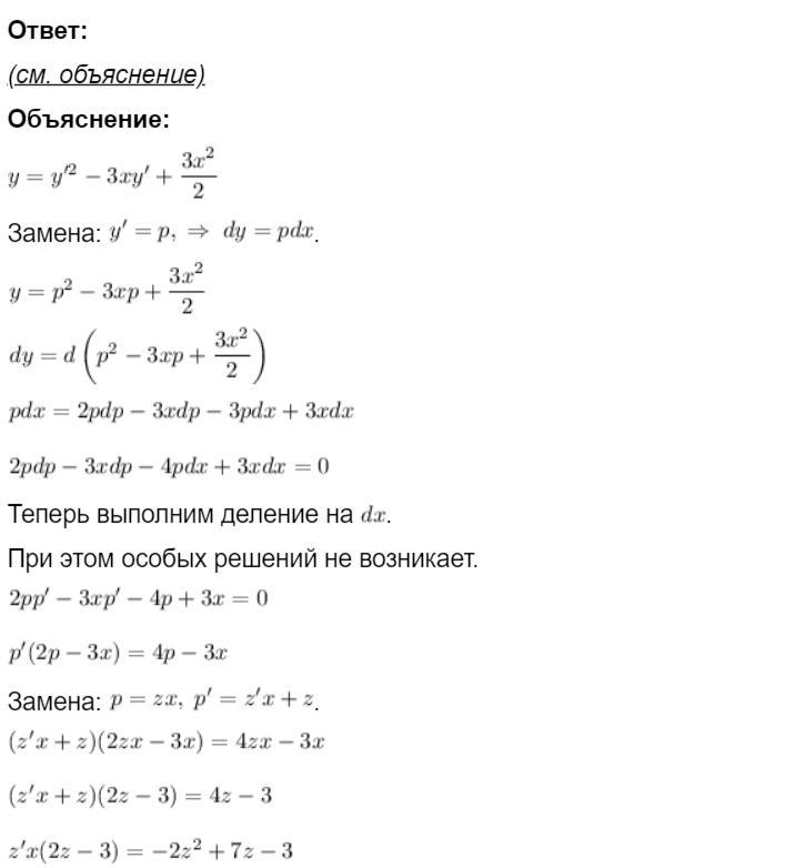
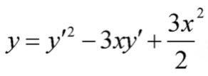
Решить дифференциальнoe уравнениe

Приложения:

Аноним: Кину відповідьв телегу мені hahobn

Ответы

Ответ дал: MrSolution
1

Ответ:

(см. объяснение)

Объяснение:

Так как сайт не дает прикрепить ответ в решении, вынужден приложить его в виде фото.

Уравнение решено!

Приложения:

Xonda7777: Второй раз огромное вам спасибо
MrSolution: ))
Вас заинтересует