• Предмет: Алгебра
  • Автор: Dudossa
  • Вопрос задан 2 года назад

Подай у вигляді степеню, використовуючи основні властивості степеня.
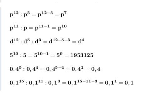
А) р¹² : р⁵ =
Б) p¹¹ : p =
В) d¹² : d⁵ : d³ =
Г) 5¹⁰ : 5 =
Д) 0,4⁵ : 0,4⁴ =
Е) 0,1¹⁵ : 0,1¹¹ : 0,1³ =

Ответы

Ответ дал: zanbolkobeev999
2

Ответ:

Объяснение:  Здесь во всех случаях используется свойство степени:\frac{a^n}{a^m}=a^{n-m}, первое покажу подробно, а остальные напишу конечный результат. Вычитать вы умеете и сами справитесь.  

A)\frac{p^{12}}{p^5}=p^{12-5}=p^7\\\\ B) p^{10}\\C)d^4\\D) 5^9\\E)0,4\\F) 0,1

Ответ дал: NNNLLL54
1

Ответ:

Применяем свойства степеней .

\bf p^{12}:p^5=p^{12-5}=p^7\\\\p^{11}:p=p^{11-1}=p^{10}\\\\d^{12}:d^5:d^3=d^{12-5-3}=d^{4}\\\\5^{10}:5=5^{10-1}=5^9=1953125\\\\0,4^5:0,4^4=0,4^{5-4}=0,4^1=0,4\\\\0,1^{15}:0,1^{11}:0,1^3=0,1^{15-11-3}=0,1^1=0,1                                  

Приложения:

aarr04594: 5⁹, это ответ. Находить значение степени не надо. "У вигляді степені" 5⁹ і є у вигляді степені.
Вас заинтересует