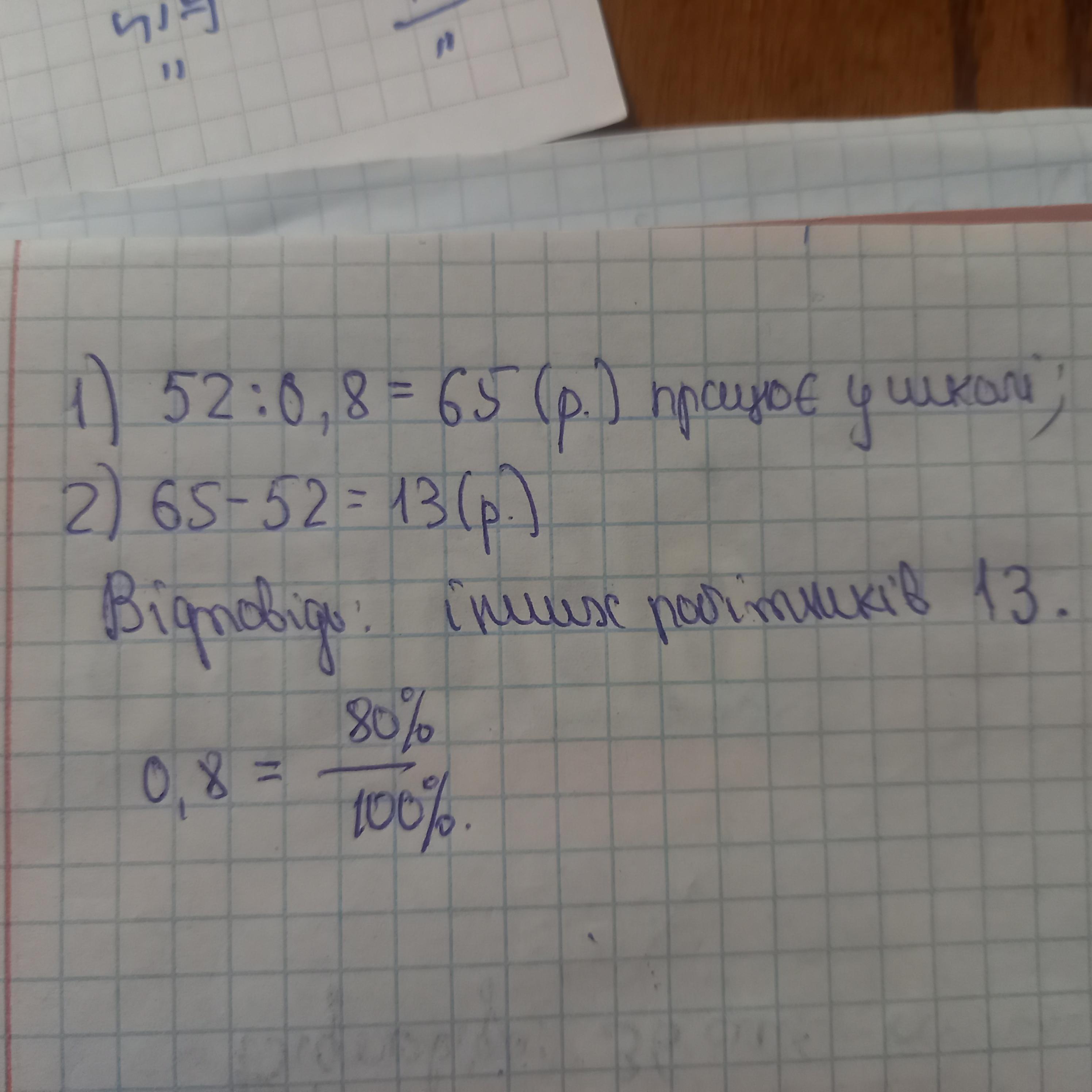
В ЗОШ №14 працює 52 вчителя, що становить 80% загальної кількості робітників школи. Скільки інших робітників працює в ЗОШ №14?
Ответы
Ответ дал:
1
Відповідь: у школі працює 13 інших робітників.
Приложения:

Ответ дал:
0
Ответ:
13 інших робітників
Пошаговое объяснение:
100%-80%=20% інших робітників
Пропорція:
52 вчителя ------- 80%
х вчителів -------- 20%
52*20:80=13 (інших робітників)
Вас заинтересует
1 год назад
2 года назад