• Предмет: Алгебра
  • Автор: baculadennis
  • Вопрос задан 2 года назад

ДОПОМОЖІТЬ! ДАЮ 30 БАЛІВ!
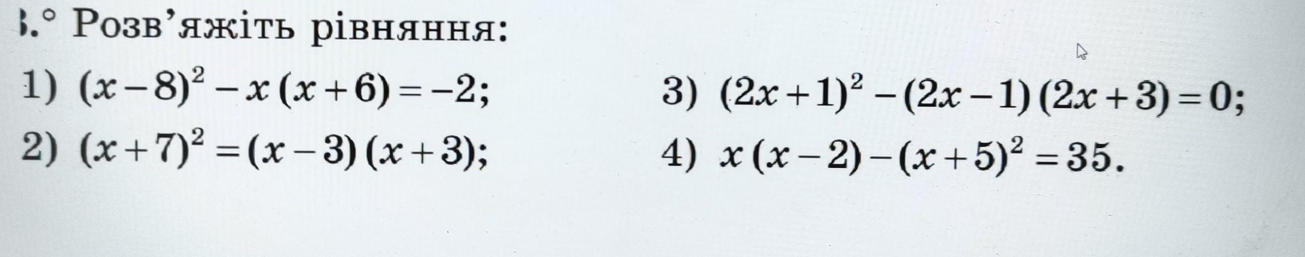
ЗАВДАННЯ НА ФОТО ​

Приложения:

Ответы

Ответ дал: roman1072007
0

Ответ:

бъяснение:

1) (х-8)²-х(х+6)=-2

х²-16х+64-х²+6х+2=0

-10х+66=0

-10х=66

х=-6,6

2) (х+7)²=(х-3)(х+3)

х²+14х+49=х²-9

14х=-58

х=-\frac{58}{14}

3) (2х+1)²-(2х-1)(2х+3)=0

4х²+4х+1-4х²-6х+2х+3=0

4=0

х∈∅

4) х(х-2)-(х+5)²=35

х²-2х-х²-10х-25+35=0

-12х=-10

х=\frac{12}{10}

Вас заинтересует