• Предмет: Алгебра
  • Автор: vorobiova3005
  • Вопрос задан 2 года назад

Дуже потрібноооо!!!! Дуже бістро!!!


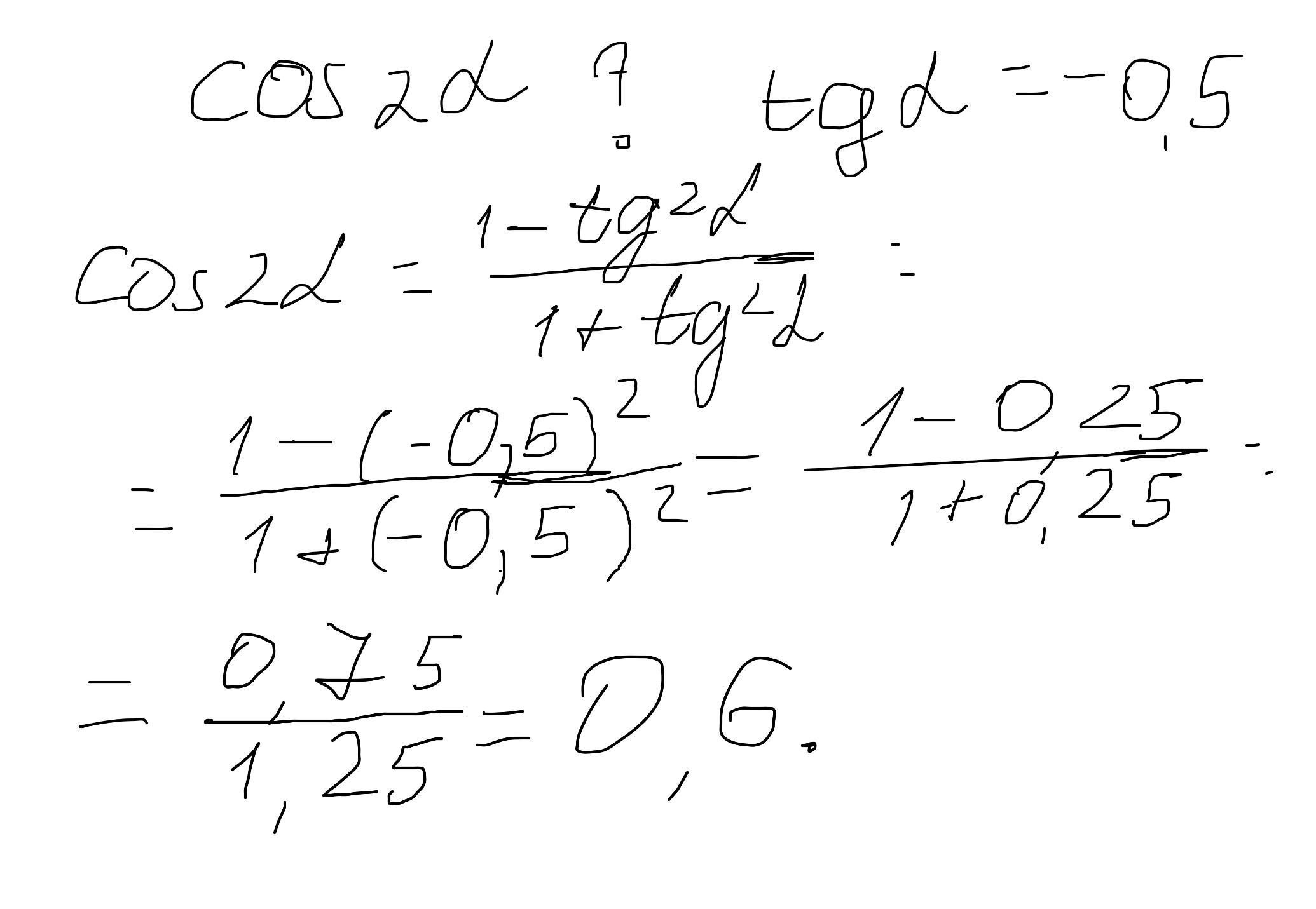
знайдіть значення cos2a якщо tga = - 0,5




Ответы

Ответ дал: fizikyadershik68
1

Ответ:

Объяснение:

Здравствуйте, спасибо за задачу. В данном примере нам лучше всего знать формулу косинуса двойного угла через тангенс. Формула и решение прикреплено на фото ниже.

С уважением, Владимир.

Приложения:
Вас заинтересует