Допоможіть будь ласочка!Допоможіть будь ласочка! Система числення, інформатика 8 клас
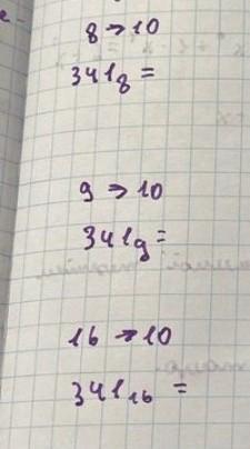
8->10
341(8 степені)=
9->10
341(9 степені)=
16->10
341(16степені)=
Приложения:

Ответы
Ответ дал:
1
Ответ:
341 в 8 системе счисления=225 в 10 системе счисления
341 в 9 системе счисления=280 в 10 системе счисления
341 в 16 системе счисления=833 в 10 системе счисления
Объяснение:
341 в 8 системе счисления=3×8^2+4×8^1+1×8^0=192+32+1=225 в 10 системе счисления
341 в 9 системе счисления=3×9^2+4×9^1+1×9^0=243+36+1=280 в 10 системе счисления
341 в 16 системе счисления=3×16^2+4×16^1+1×16^0=768+64+1=833 в 10 системе счисления
Вас заинтересует
1 год назад
1 год назад
1 год назад
2 года назад
2 года назад
8 лет назад