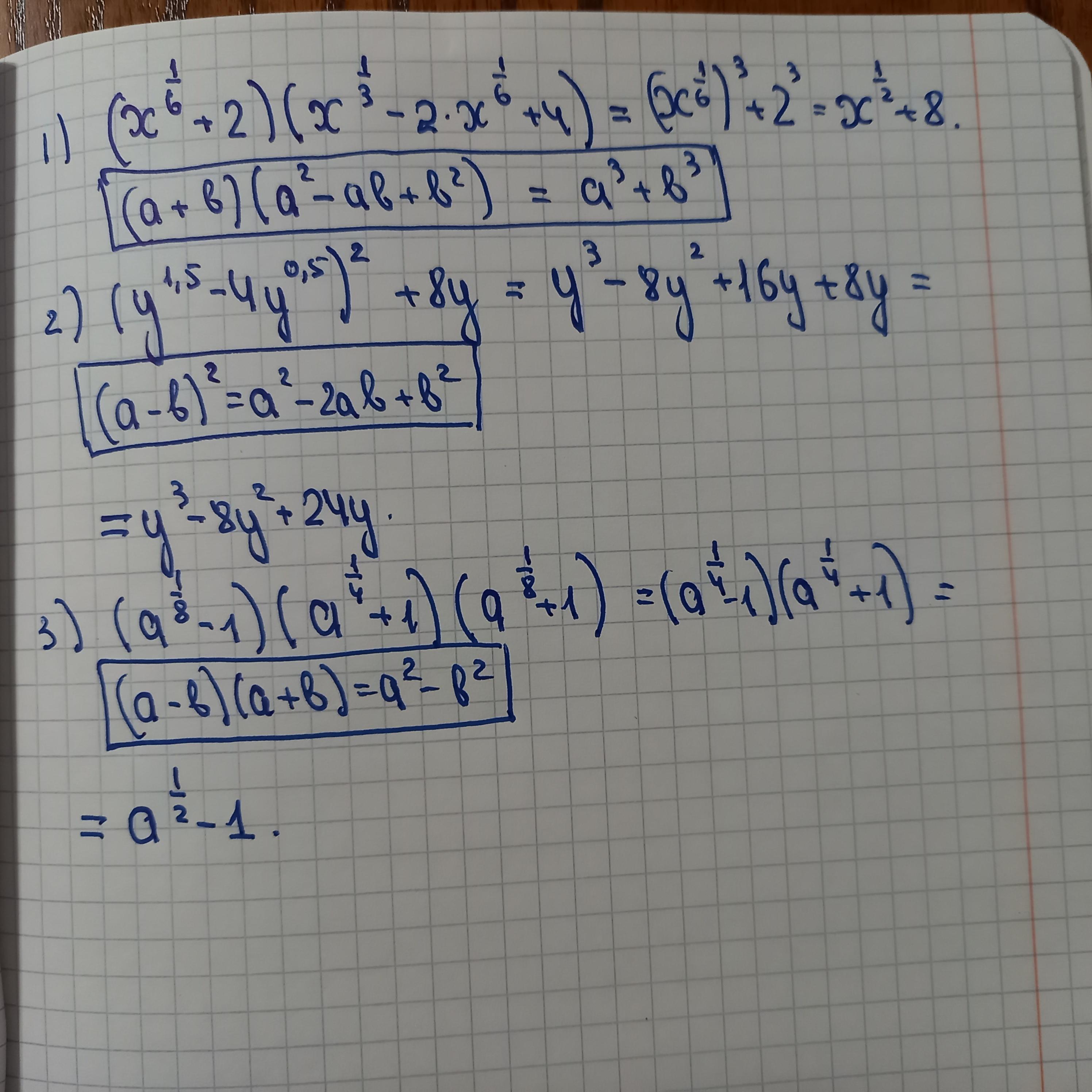
Розкрийте дужки:
1) (x^1/6+2)(x^1/3-2x^1/6+4)
2) (y^1,5-4y^0,5)^2+8y
3) (a^1/8-1)(a^1/4+1)(a^1/8+1)
Ответы
Ответ дал:
1
Відповідь: фото
Пояснення:
розв'язання завдання
Приложения:

Вас заинтересует
1 год назад
1 год назад
1 год назад
2 года назад
2 года назад
8 лет назад
8 лет назад